常见的损失函数
1. L1范数损失 L1Loss
计算 output 和 target 之差的绝对值。
公式:

1
2
3
4
5
6
7
import torch
import torch.nn as nn
pred = torch.tensor([1.0, 2.0, 3.0, 4.0]) # 相应的真实值
target = torch.tensor([1.5, 2.5, 3.5, 4.5]) # 模型的预测值
criterion = nn.L1Loss(reduction='mean') # none: 不使用约简;mean:返回loss和的平均值;sum:返回loss的和。默认:mean。
loss = criterion(pred, target) # 计算 L1 损失
print(loss) # 输出结果:tensor(0.5000)
2 均方误差损失 MSELoss
计算 output 和 target 之差的均方差。

1
2
3
4
5
6
7
import torch
import torch.nn as nn
pred = torch.tensor([1.0, 2.0, 3.0, 4.0]) # 真实值
target = torch.tensor([1.5, 2.5, 3.5, 4.5]) # 预测值
criterion = nn.MSELoss(reduction='mean') # none: 不使用约简;mean:返回loss和的平均值;sum:返回loss的和。默认:mean。
loss = criterion(pred, target) # 计算 L1 损失
print(loss) # 输出结果:tensor(0.5000)
3 交叉熵损失 CrossEntropyLoss(多分类)
当训练有 C 个类别的分类问题时很有效. 可选参数 weight 必须是一个1维 Tensor, 权重将被分配给各个类别. 对于不平衡的训练集非常有效。
在多分类任务中,经常采用 softmax 激活函数+交叉熵损失函数,因为交叉熵描述了两个概率分布的差异,然而神经网络输出的是向量,并不是概率分布的形式。所以需要 softmax激活函数将一个向量进行“归一化”成概率分布的形式,再采用交叉熵损失函数计算 loss。
\[\ell(x, y) = L = \{l_1,\dots,l_N\}^\top, \quad l_n = - w_{y_n} \log \frac{\exp(x_{n,y_n})}{\sum_{c=1}^C \exp(x_{n,c})} \cdot \mathbb{1}\{y_n \not= \text{ignore\_index}\}\]1
torch.nn.CrossEntropyLoss(weight=None, ignore_index=-100, reduction='mean')
参数:
weight (Tensor, optional) – 自定义的每个类别的权重. 必须是一个长度为 C 的 Tensor
ignore_index (int, optional) – 设置一个目标值, 该目标值会被忽略, 从而不会影响到 输入的梯度。
reduction-三个值,none: 不使用约简;mean:返回loss和的平均值;sum:返回loss的和。默认:mean。
4 KL 散度损失 KLDivLoss
KL散度,又叫相对熵,用于衡量两个分布(离散分布和连续分布)之间的距离。 计算 input 和 target 之间的 KL 散度。KL 散度可用于衡量不同的连续分布之间的距离, 在连续的输出分布的空间上(离散采样)上进行直接回归时 很有效.
\[L(y_{\text{pred}},\ y_{\text{true}}) = y_{\text{true}} \cdot \log \frac{y_{\text{true}}}{y_{\text{pred}}} = y_{\text{true}} \cdot (\log y_{\text{true}} - \log y_{\text{pred}})\]1
2
3
4
5
6
7
8
9
10
import torch.nn.functional as F
kl_loss = nn.KLDivLoss(reduction="batchmean")
# input should be a distribution in the log space
input = F.log_softmax(torch.randn(3, 5, requires_grad=True), dim=1)
# Sample a batch of distributions. Usually this would come from the dataset
target = F.softmax(torch.rand(3, 5), dim=1)
output = kl_loss(input, target)
kl_loss = nn.KLDivLoss(reduction="batchmean", log_target=True)
log_target = F.log_softmax(torch.rand(3, 5), dim=1)
output = kl_loss(input, log_target)
参数:
reduction-三个值,none: 不使用约简;mean:返回loss和的平均值;sum:返回loss的和。默认:mean。
5 二进制交叉熵损失 BCELoss(二分类)
二分类任务时的交叉熵计算函数。用于测量重构的误差, 例如自动编码机. 注意目标的值 ti 的范围为0到1之间.
\[\ell(x, y) = L = \{l_1,\dots,l_N\}^\top, \quad l_n = - w_n \left[ y_n \cdot \log x_n + (1 - y_n) \cdot \log (1 - x_n) \right]\]要求模型的输出经过 Sigmoid 处理后再计算损失。
1
2
3
4
5
6
import torch
import torch.nn as nn
loss = nn.BCELoss(weight=None, reduction='mean', pos_weight=None)
input = torch.randn(3, 2, requires_grad=True)
target = torch.rand(3, 2, requires_grad=False)
output = loss(nn.Sigmoid(input), target)
参数:
weight (Tensor, optional) – 自定义的每个 batch 元素的 loss 的权重. 必须是一个长度为 “nbatch” 的 的 Tensor
6 BCEWithLogitsLoss(二分类)
BCEWithLogitsLoss损失函数相当于BCELoss的进化版, 把 手动调用Sigmoid 层集成到了 BCELoss 类中. 该版比用一个简单的 Sigmoid 层和 BCELoss 在数值上更稳定, 因为把这两个操作合并为一个层之后, 可以利用 log-sum-exp 的 技巧来实现数值稳定.
\[\ell(x, y) = L = \{l_1,\dots,l_N\}^\top, \quad l_n = - w_n \left[ y_n \cdot \log \sigma(x_n) + (1 - y_n) \cdot \log (1 - \sigma(x_n)) \right]\]直接接受模型的 logits 作为输入,无需手动调用 Sigmoid再输入。
1
2
3
4
5
6
import torch
import torch.nn as nn
loss = nn.BCEWithLogitsLoss(weight=None, reduction='mean', pos_weight=None)
input = torch.randn(3, 2, requires_grad=True)
target = torch.rand(3, 2, requires_grad=False)
output = loss(input, target)
参数:
weight (Tensor, optional) – 自定义的每个 batch 元素的 loss 的权重. 必须是一个长度 为 “nbatch” 的 Tensor
7 MarginRankingLoss
是一种常用于学习排名任务的损失函数,通过比较样本对之间的相似性或相关性来进行训练,适用于需要处理排序、匹配等问题的情景。 给定一对输入 ( x1 ) 和 ( x2 ),以及它们的标签 ( y )(1 表示相似,-1 表示不相似),该损失函数计算如下:
\[\text{loss}(x1, x2, y) = \max(0, -y * (x1 - x2) + \text{margin})\]1
2
3
4
5
6
7
import torch
import torch.nn as nn
loss = nn.MarginRankingLoss(margin=0.0, reduction='mean')
input1 = torch.randn(3, requires_grad=True)
input2 = torch.randn(3, requires_grad=True)
target = torch.randn(3).sign()
output = loss(input1, input2, target)
对于 mini-batch(小批量) 中每个实例的损失函数如下:
参数:
margin:默认值0
8 HingeEmbeddingLoss
是用于支持向量机(SVM)训练中常用的损失函数,用来度量两个输入之间的相似性或差异性。 常用于非线性词向量学习以及半监督学习。 对于一对输入 ( x1 ) 和 ( x2 ),以及它们的标签 ( y )(1 表示相似,-1 表示不相似),损失函数的计算基于它们之间的距离或相似度差异,如下:
\[l_n = \begin{cases} x_n, & \text{if}\; y_n = 1,\\ \max \{0, margin - x_n\}, & \text{if}\; y_n = -1, \end{cases}\]1
torch.nn.HingeEmbeddingLoss(margin=1.0, reduction='mean')
参数:
margin:默认值1
9 多标签分类损失 MultiLabelMarginLoss
1
torch.nn.MultiLabelMarginLoss(reduction='mean')
对于mini-batch(小批量) 中的每个样本按如下公式计算损失:
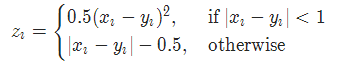
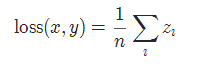
10 平滑版L1损失 SmoothL1Loss
也被称为 Huber 损失函数。
1
torch.nn.SmoothL1Loss(reduction='mean')
其中
11 2分类的logistic损失 SoftMarginLoss
1
torch.nn.SoftMarginLoss(reduction='mean')
12 多标签 one-versus-all 损失 MultiLabelSoftMarginLoss
1
torch.nn.MultiLabelSoftMarginLoss(weight=None, reduction='mean')
13 cosine 损失 CosineEmbeddingLoss
1
torch.nn.CosineEmbeddingLoss(margin=0.0, reduction='mean')
参数:
margin:默认值0
14 多类别分类的hinge损失 MultiMarginLoss
1
torch.nn.MultiMarginLoss(p=1, margin=1.0, weight=None, reduction='mean')
参数:
p=1或者2 默认值:1
margin:默认值1
15 三元组损失 TripletMarginLoss
和孪生网络相似,具体例子:给一个A,然后再给B、C,看看B、C谁和A更像。
1
torch.nn.TripletMarginLoss(margin=1.0, p=2.0, eps=1e-06, swap=False, reduction='mean')
其中:
16 连接时序分类损失 CTCLoss
CTC连接时序分类损失,可以对没有对齐的数据进行自动对齐,主要用在没有事先对齐的序列化数据训练上。比如语音识别、ocr识别等等。
1
torch.nn.CTCLoss(blank=0, reduction='mean')
参数:
reduction-三个值,none: 不使用约简;mean:返回loss和的平均值;sum:返回loss的和。默认:mean。
17 负对数似然损失 NLLLoss
负对数似然损失. 用于训练 C 个类别的分类问题.
1
torch.nn.NLLLoss(weight=None, ignore_index=-100, reduction='mean')
参数:
weight (Tensor, optional) – 自定义的每个类别的权重. 必须是一个长度为 C 的 Tensor
ignore_index (int, optional) – 设置一个目标值, 该目标值会被忽略, 从而不会影响到 输入的梯度.
18 NLLLoss2d
对于图片输入的负对数似然损失. 它计算每个像素的负对数似然损失.
1
torch.nn.NLLLoss2d(weight=None, ignore_index=-100, reduction='mean')
参数:
weight (Tensor, optional) – 自定义的每个类别的权重. 必须是一个长度为 C 的 Tensor
reduction-三个值,none: 不使用约简;mean:返回loss和的平均值;sum:返回loss的和。默认:mean。
19 PoissonNLLLoss
目标值为泊松分布的负对数似然损失
1
torch.nn.PoissonNLLLoss(log_input=True, full=False, eps=1e-08, reduction='mean')
参数:
log_input (bool, optional) – 如果设置为 True , loss 将会按照公 式 exp(input) - target * input 来计算, 如果设置为 False , loss 将会按照 input - target * log(input+eps) 计算.
full (bool, optional) – 是否计算全部的 loss, i. e. 加上 Stirling 近似项 target * log(target) - target + 0.5 * log(2 * pi * target).
eps (float, optional) – 默认值: 1e-8